Modeling Mortality Risk Among HIV/AIDS Patients on Antiretroviral Therapy Using Survival Methods: Insights from Kaplan-Meier, Cox Proportional Hazards Models, and Log Rank Tests
Article Main Content
Background: Despite significant advancements in antiretroviral therapy (ART), HIV/AIDS continues to be a critical health challenge in Meru County, Kenya, particularly regarding the high mortality rates among people living with HIV (PLHIV). This study aimed to fit a survival model for predicting mortality and evaluate survival differences among adult HIV/AIDS patients under ART at Meru Teaching and Referral Hospital (MTRH).
Method: A retrospective cohort design was adopted, using secondary data from MTRH for all HIV-positive adults who received ART between January 1, 2018, and December 31, 2023. The target population comprised patients with complete medical records available for analysis. Collected data included demographic, socioeconomic, and clinical variables, with mortality as the event of interest. Data were de-identified to ensure privacy and analyzed using R statistical software. The quantitative analysis employed the Cox Proportional Hazards regression model to fit a survival model for predicting mortality. The Log-rank test evaluated survival differences among PLHIV across different treatment groups.
Results: Results indicated that gender and age were significant predictors of mortality. Specifically, being male was associated with a 72% higher hazard of mortality compared to females (exp(coef) = 1.718), and each additional year of age increased the hazard by 1.5% (coefficient = 1.015). However, smoking status and employment were not significantly associated with mortality. The Log-rank test revealed a significant difference in survival rates between male and female participants (χ2 =4.1, df=1, p=0.04), with females showing better survival outcomes, while no significant differences were found based on age, smoking status, or marital status.
Conclusion: The study concluded that gender and age are key determinants of mortality among PLHIV under ART at MTRH, with males facing higher mortality risks. The findings emphasize the need for gender-sensitive healthcare interventions and age-appropriate care strategies to improve survival outcomes. Further research is recommended to explore the specific challenges faced by male PLHIV and to investigate the broader impact of socioeconomic factors on survival outcomes.
Introduction
HIV/AIDS remains one of the most pressing global health challenges, despite the significant strides made in treatment and prevention through the introduction of antiretroviral therapy (ART). Art has significantly decreased mortality among people living with HIV (PLHIV) by viral load suppression and recovery of immune function in response to the disease, according to World Health Organization (WHO). Nevertheless, there remain differences in survival outcomes; especially in the context of low- and middle-income countries such as Kenya where access to reliable good quality health care is usually challenging. Insights on the drivers of these discrepancies are essential to enhance ART effectiveness and survival among persons living with HIV (PLHIV) [1].
Kenya is among the countries most affected by HIV epidemic, with 1.4 million people living with HIV by year 2023. Meru County in Kenya, which is in the central region of the country has not been spared by the epidemic. Although ART was made accessible through the primary health care services, PLHIV in Meru County seem to be facing tremendous death rates. This raises the notion that other factors apart from ART provision could be a determinant of survival results. These may include demographic, socioeconomic or clinical factors, underlining the expediency of elaborate assessments on the predictors of the mortality in this population group [2].
Gender and age are among the most well-documented demographic variables for their associations with health-related outcomes among PLHIV. Research indicates that males have poorer health outcomes than females because of non-facility-based following treatment seeking behavior, differences in ART-treatment adherence, and co-morbidities [3]. Age is another correlate because older people could be diagnosed at a more advanced stage of the illness or begin ART or could have other age-related complications that increase HIV related mortality. It is crucial to understand how these demographic characteristics moderate clinical and socioeconomic determinants in order to develop specific interventions.
Socio-economic status is the other factor that greatly affects the survival of PLHIV. Survival rate outcomes reveal that patients with higher education levels, patients with stable employment, and patients with improved health care facility access also have better health outcomes. On the other hand, people from lower socioeconomic status are likely to have challenges in ART adherence; less access to health care, inadequate funds and poor social support [4].
Gebeyu and Derese [5] assessed the determinates of survival time to death in HIV positive patients under ART follow-up clinic in Attat Referral Hospital in the Gurage Zone of Southern Ethiopia. The cross-sectional study revealed that out of the 408 HIV/AIDS patients on ART, 30% died and 70% had low viral load. The average survival time for patients was 46 months. Regarding functional status, 302 patients were working, 87 were ambulatory, and 19 were bedridden.
A study by Nigussie et al. [6] evaluated survival and mortality predictors among adult patients starting highly The study suggested that patients with comorbidities, advanced clinical stage disease, bedridden functional status, low baseline hemoglobin, and low baseline CD4 count should receive additional attention.
A study by Abuto et al. [7] concluded that time to death was significantly influenced by late diagnosis, poor adherence, bedridden status, opportunistic infections, and immunologic failure. To improve outcomes, the study emphasized the need for early diagnosis, timely initiation of treatment, and rigorous follow-up care to enhance adherence.
Supporting existing research findings, Teshale et al. [8] revealed that mortality risk is significantly associated with factors such as concurrent tuberculosis infection, low baseline CD4 count, low baseline weight, residing in a rural area, drug use, older age, lower educational level, advanced WHO clinical stages, functional status, and marital status.
Salih et al. [9] observed that significant predictors of mortality include being unmarried, lacking formal education, bedridden functional status, advanced WHO stages III and IV, a BMI between 16 and 18.4 kg/m2, a CD4 cell count below 50 cells/mm3, hemoglobin levels below 8 g/dl, not using cotrimoxazole prophylaxis, stavudine-based therapy, and zidovudine-based therapy.
Clinically assessed factors including CD4 cell count, viral load and the coexisting opportunistic infections such as TB influences the survival of the PLHIV. Out of all the factors which were studied, advanced immune suppression with low CD4 counts, untreated or poorly managed opportunistic infections and all other diseases also contribute to high mortality. TB is known to be the major cause of morbidity and mortality among the PLHIV in Kenya and TB screening and early treatment are part of standard of package care of HIV [10]. In Kenya the poverty and unemployment rates are still high in many parts of the country and these socio-economic factors will greatly influence the livelihood of PLHIV. So, it is important to research how socioeconomic factors affect mortality totality in order to produce more efficient health interventions. Clinical factors can then be combined with the demographic and socioeconomic factors to give a comprehensive picture of the factors that are associated with mortality in this population.
This study targets Meru Teaching and Referral Hospital (MTRH) whose mortality rates among the PLHIV on ART are known to be high. In the study, survival modeling was used to establish a prognostic model for mortality risk and compare survival outcomes between subgroups. It was anticipated that the results of this study would be useful in establishing the precise needs and difficulties experienced by HIV-positive persons in Meru County, along with practical recommendations for future HIV prevention and treatment interventions in Kenya.
Materials and Methods
Kaplan-Meier
Among adult HIV/AIDS patients receiving ART at Meru Teaching and Referral Hospital in this study, the Kaplan-Meier survival analysis was used to estimate the survival curve. The Kaplan-Meier method is one of the most popular methods in survival analysis because it enables an estimate of survival probability while dealing with censorship—when patients are lost to follow up or survive beyond the duration of the study. The Kaplan-Meier estimator computes the survival function S(t) using the formula:
where:
is the time of the i-th event (death),
refers to the number of deaths at that particular time ,
means total number of patient that were at risk just before ,
This model facilitated construction of survival curves that provided information on the time to death of the patients allowing the study to investigate mortality differences according to several characteristics including gender and socioeconomic factors while taking into consideration differences in follow-up time.
Censoring in Kaplan-Meier
To manage censoring, patients with incomplete records were not included in this procedure, so that possible enhancing of survival times was minimized. Instances censored were patients who failed to complete the follow-up. This method was particularly important in obtaining objective estimates of survival probabilities and in enabling the comparison of relevant subgroups across patients on ART.
Cox Proportional Hazards Model (Cox PH)
The research used the Cox Proportional Hazards (Cox PH) to generate insight into the mortality patterns of HIV/AIDS patients while accounting for different demographic, socioeconomic, and clinical covariates. This semi-parametric model is particularly appropriate for survival analysis since the distribution of the survival time is not required to be fitted. The Cox PH model estimates the hazard function where X represents the covariates, using the formula:
where:
is the baseline hazard and it is equal to the hazard when all the we measure zero and the quantity (t) is used to indicate that the hazard may change with time,
, is the coefficients of the covariates/measure the impact of covariates,
are the covariate i.e., demographic factors, socioeconomic factors, and clinical factors,
t represents the survival time.
The hazard ratio (HR) derived from the Cox model quantifies the effect of each covariate on the hazard of death, providing a detailed understanding of the key risk factors influencing mortality. The Cox PH model assumes proportional hazards, meaning that the hazard ratio between two individuals remains constant over time.
Partial Likelihood Estimation in CoxPH
The regression coefficients (β) in the Cox PH model were estimated using the partial likelihood method, which focuses on the likelihood of the observed order of events rather than the specific survival times. The partial likelihood function is maximized to provide estimates of the covariate’s effects on mortality. These coefficients are interpreted through the exponentiated values exp (), where a positive coefficient indicates an increased hazard of death, and a negative value suggests a reduced hazard. For instance, a hazard ratio of 1.65 for a covariate indicates that a one-unit increase in that covariate raises the hazard of mortality by 65%.
Log-Rank Test for Survival Differences
To evaluate survival differences across various subgroups, the log-rank test was used. This non-parametric test compares survival curves by assessing whether observed differences in survival times between groups (e.g., based on gender or employment status) are statistically significant. The test statistic is calculated as follows:
and are the observed and expected numbers of events in each group respectively. This formula was used to assess the null hypothesis which stated that there are no differences in survival between groups. The log-rank test was chosen for its robustness in handling censored data and for its capacity to compare survival outcomes across multiple risk factors without assuming a specific distribution of survival times.
Results
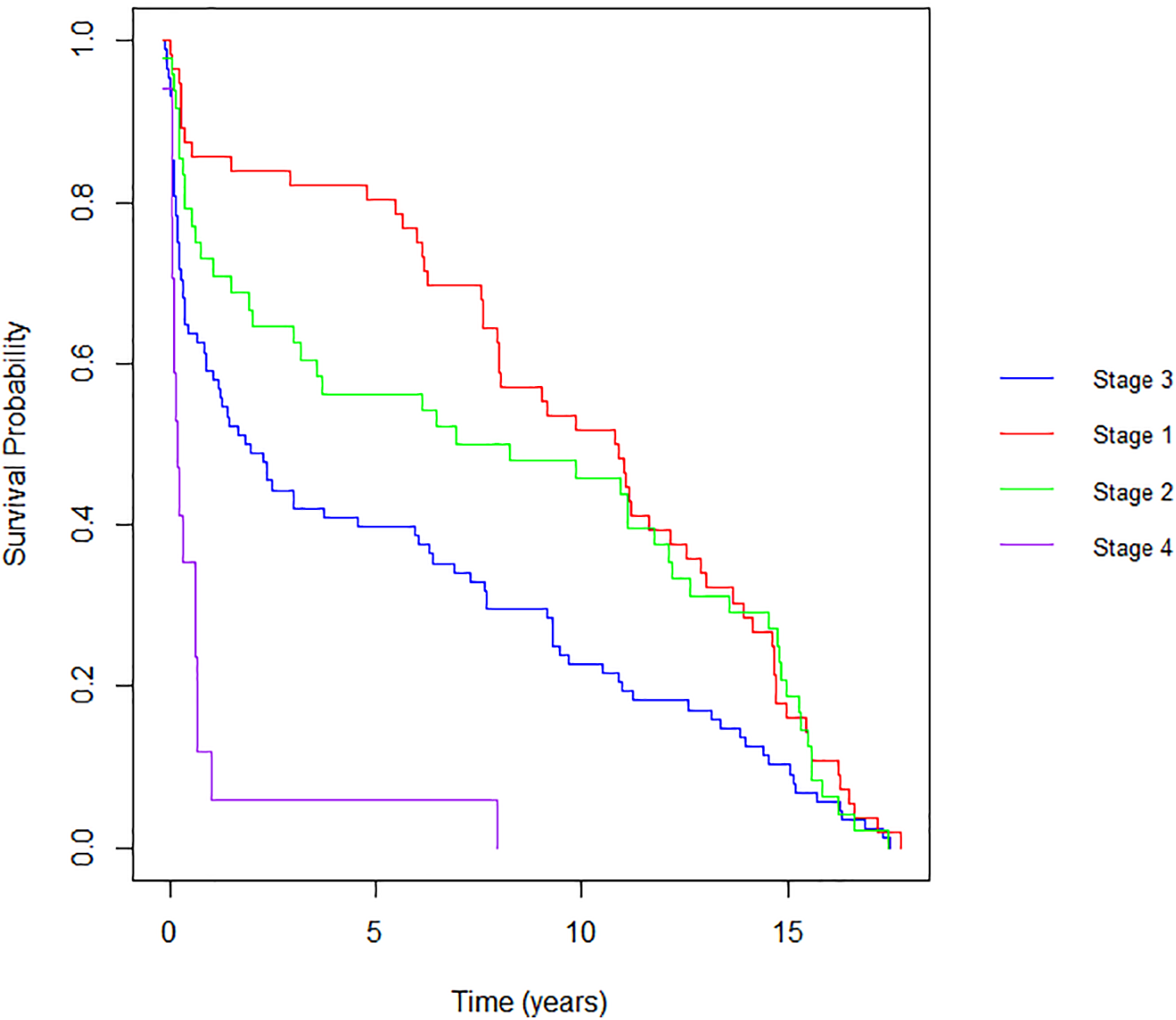
Kaplan-Meier Curve by WHO Stage
Fig. 1 presents Kaplan-Meier survival curves comparing survival probabilities over time among HIV/AIDS patients at different WHO clinical stages (Stage 1–4). Patients in WHO Stage 1 have the highest survival probability throughout the observation period. The curve shows a gradual decline in survival over time, indicating better survival outcomes compared to other stages. Patients in WHO Stage 2 have lower survival probabilities than those in Stage 1 but better than those in Stages 3 and 4. The decline in survival is more pronounced than in Stage 1.
Fig. 1. Kaplan-Meier survival curves by WHO stage.
Patients in WHO Stage 3 experience a more rapid decline in survival probability compared to Stages 1 and 2. The survival probability drops sharply, indicating higher mortality rates. Patients in WHO Stage 4 have the worst survival outcomes. The curve drops very steeply, particularly in the early years, indicating a high mortality rate among patients at this stage. The survival curves for Stage 1 and Stage 2 are relatively close to each other, indicating that the difference in survival between these two stages is not as pronounced as between Stages 2 and 3 or Stages 3 and 4.
This Kaplan-Meier plot illustrates that survival probability decreases as the WHO clinical stage increases. Patients at WHO Stage 4 face the highest risk of mortality, followed by those at Stage 3, Stage 2, and finally, Stage 1. This underscores the importance of early diagnosis and treatment to improve survival outcomes for HIV/AIDS patients.
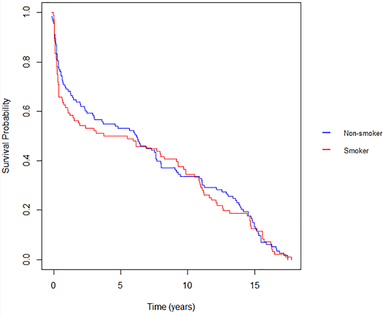
Kaplan-Meier Curve by Smoking Status
The Kaplan-Meier survival curve in Fig. 2 compares the survival probabilities of smokers and non-smokers over time. The difference between the curves indicates that smokers are at a higher risk of mortality than non-smokers. This difference is not constant over time, but it is consistently present. The survival probability drops more sharply for smokers, particularly in the earlier periods, indicating that smokers might experience higher mortality rates earlier than non-smokers. Toward the end of the observation period, the two curves appear to converge slightly, meaning that the difference in survival probabilities between smokers and non-smokers narrows as time goes on. However, non-smokers still maintain a slight survival advantage.
Fig. 2. Kaplan-Meier survival curves by smoking status.
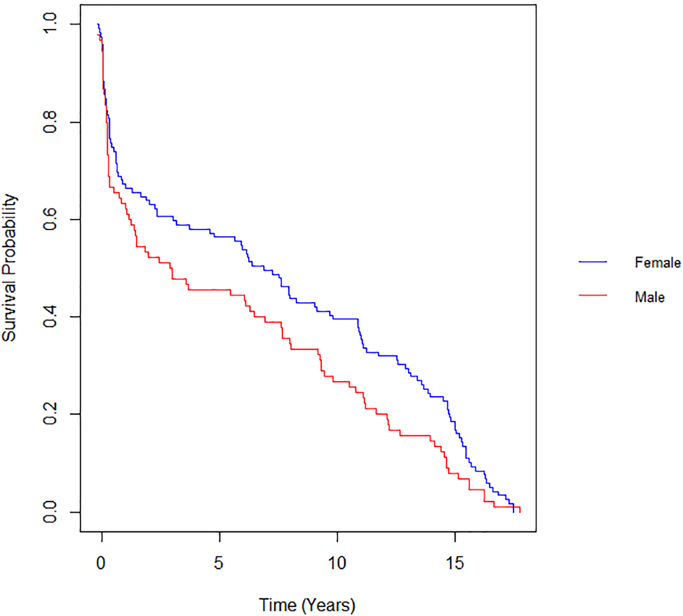
Kaplan-Meier Curve by Gender
The Kaplan-Meier analysis showed that females generally have higher survival probabilities compared to males throughout the study period. This suggests that women in the study population have a lower risk of mortality compared to men. Both survival curves show a gradual decline in survival probability over time, indicating that the risk of mortality increases as time progresses for both genders. However, the survival probability for males decreases more rapidly than for females, particularly in the earlier years of follow-up. The gap between the curves suggests a consistent difference in survival outcomes between the genders, with males experiencing a higher mortality risk compared to females across the study period. Fig. 3 shows the Kaplan-Meier curves by gender.
Fig. 3. Kaplan-Meier survival curves by gender.
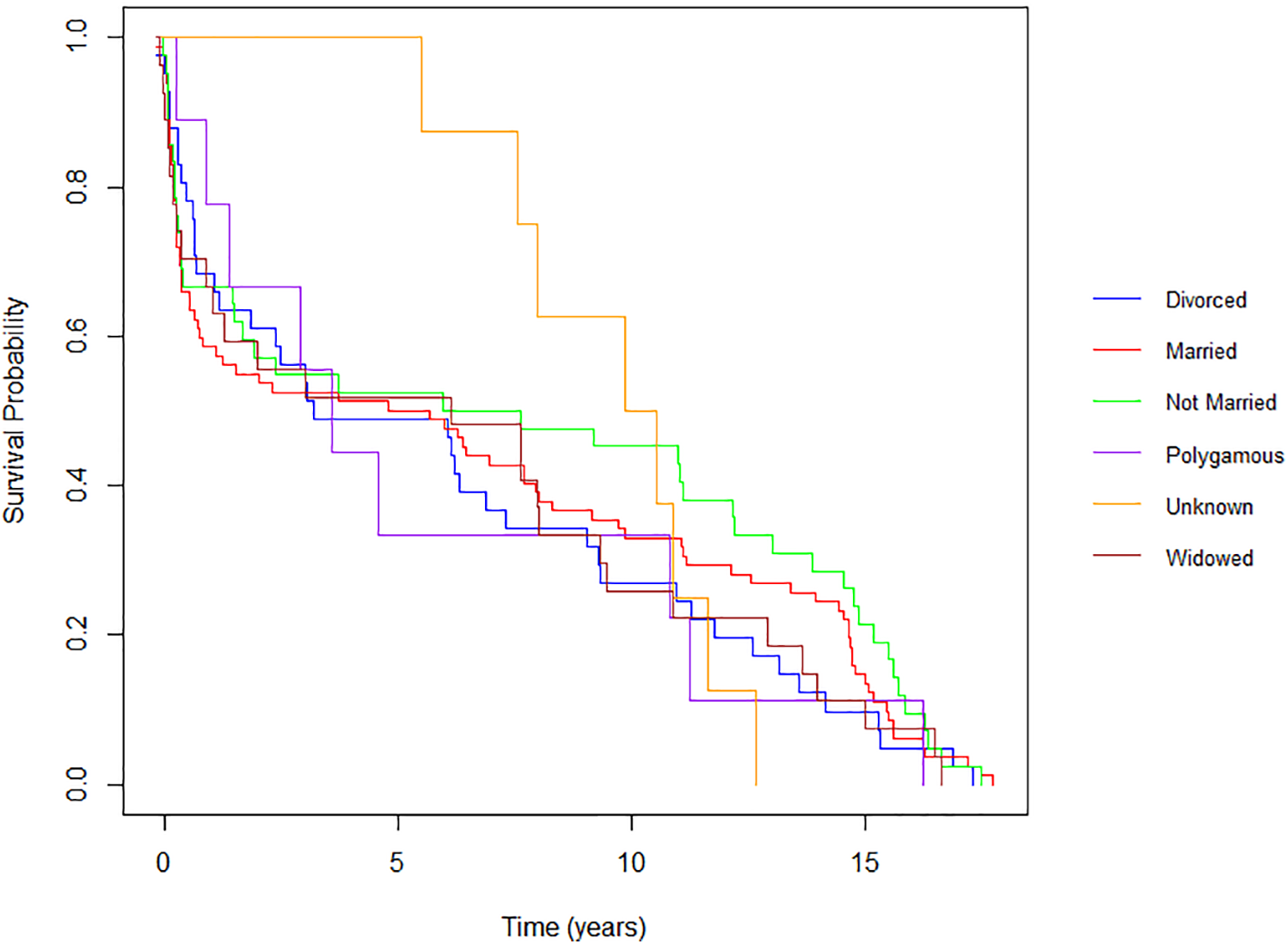
Kaplan-Meier Survival Curve by Marital Status
The Kaplan-Meier curves for each marital status group overlapped considerably, indicating that marital status might not play a significant role in the survival of patients undergoing ART. Fig. 4 shows the Kaplan-Meier curves by marital status. Survival curves show the probability of survival at different time points for each marital status group. Widowed and Unknown groups seem to have relatively higher survival probabilities as their curves remain high for an extended period, indicating lower mortality over time.
Fig. 4. Kaplan-Meier survival curves by marital status.
Divorced, Married, and Not Married groups show more consistent declines, suggesting moderate mortality rates. Polygamous group appears to have sharper early declines, indicating higher early mortality in comparison to the other groups.
Survival Model for Predicting Mortality among Adult PLHIV under ART based on the Identified Risk Factors Using the Data of MTRH
A Cox proportional hazards model was employed to assess the impact of various risk factors on the survival of adult PLHIV under ART. It incorporated variables such as gender, age at reporting, smoking status, employment status, education level, CD4 Cell Count, and TB screening, with stratification by WHO Stage. The results are displayed in Table I.
| Variable | Coefficient (coeff) | Hazard ratio (exp(coef)) | Standard error (se(coeff)) | Z-Score | P-Value |
|---|---|---|---|---|---|
| Gender (Male) | 0.5414 | 1.7183 | 0.1603 | 3.378 | 0.0007 |
| Age at Reporting | 0.0154 | 1.0155 | 0.0054 | 2.840 | 0.0045 |
| Smoking Status (Smoker) | −0.1016 | 0.9034 | 0.1488 | −0.683 | 0.4948 |
| Employment Status (Self-employed) | −0.0413 | 0.9596 | 0.1790 | −0.231 | 0.8176 |
| Employment Status (Unemployed) | −0.2067 | 0.8132 | 0.1831 | −1.129 | 0.2588 |
| Education Level (secondary) | −0.1764 | 0.8382 | 0.2123 | −0.831 | 0.4059 |
| Education Level (Primary) | −0.3367 | 0.7141 | 0.1905 | −1.767 | 0.0772 |
| Education Level (Tertiary institution) | −0.1214 | 0.8857 | 0.2254 | −0.539 | 0.5901 |
| CD4 Cell Count | −0.0005 | 0.9995 | 0.0004 | −1.284 | 0.1991 |
| TB Screening (Yes) | −0.0553 | 0.9462 | 0.1636 | −0.338 | 0.7356 |
Fitting a model gives:
where:
-Gender (Male),
-Age,
-Smoker,
-Self-employed,
-Unemployed,
-Secondary (Education level),
-Primary (Education level),
-Tertiary (Education level),
-CD4 (CD4 cell count),
-TBScreeningYes.
The analysis revealed that being male was associated with a higher hazard of mortality compared to females. Specifically, the hazard rate for males was approximately 72% higher than that for females, as indicated by an exponentiated coefficient (exp(coef)) of 1.718. Age also played a significant role, with the hazard increasing by approximately 1.5% for each additional year, denoted by a coefficient of 0.015. Interestingly, the model suggested that smoking status was not significantly associated with mortality among PLHIV under ART, as evidenced by a non-significant p-value of 0.495 for smokers.
Employment status categories, including self-employed and unemployed, indicated a lower hazard compared to the baseline category. However, these associations were not statistically significant. Similarly, various levels of education (secondary, primary, and tertiary institution) were incorporated into the model and showed negative coefficients compared to the baseline, yet these were not statistically significant.
The CD4 Cell Count, a crucial indicator in HIV treatment and management, showed a very slight decrease in hazard with increasing count, but this relationship did not reach statistical significance (p = 0.199). TB screening, a key component in HIV management, was associated with a non-significant reduction in mortality risk for those who had been screened.
The overall fit of the model was statistically significant, as indicated by a p-value of 0.03815 in the likelihood ratio test. This suggests that the combination of covariates included in the model significantly impacts the survival of PLHIV under ART.
Survival rates Among PLHIV in the Different Groups Under ART based on the Identified Risk Factors of MTRH
The log-rank test (Table II), aimed at assessing the differences in survival between older adults and young adults, yielded a chi-squared value of 0.2 on 1 degree of freedom, with a p-value of 0.6. This outcome indicates that there is no statistically significant difference in the survival rates between the two age groups under study. In particular, the observed number of events in the group of older adults was 174, which was slightly less than expected, equal to 176.6, so the deviation from the foregoing ratio is minor. Likewise, in the young adult group, there were 35 actually identified events, slightly more than the expected 32.4, though the difference was non-significant.
| Group comparison | Chi-square (χ²) | Degrees of freedom (df) | P-Value | Observed events - group 1 | Expected events - group 1 | Observed events - group 2 | Expected events - group 2 |
|---|---|---|---|---|---|---|---|
| Older vs. Young Adults | 0.2 | 1 | 0.60 | 174 | 176.6 | 35 | 32.4 |
| Female vs. Male | 4.1 | 1 | 0.04 | 119 | 132.9 | 90 | 76.1 |
| Smoker vs. Non-Smoker | 0.2 | 1 | 0.70 | 113 | 116.1 | 96 | 92.9 |
| Married vs. Not Married | 0.8 | 1 | 0.40 | 82 | 77.2 | 42 | 46.8 |
In evaluating the survival rates of males as compared to female participants, a log-rank test was used. The findings showed a separable distinction in survivorship concerning the two groups (χ2 = 4.1, df = 1, p = 0.04). In particular, the empirical comparison between the average and the expected values in the female group showed quantitative discrepancies where the observed number of events is 119 whereas the expected number of events is 132.9. On the other hand, the observed events in the male group were 90, which was higher than the anticipated 76.1.
The difference in survival time between smokers and non-smokers among People Living with HIV (PLHIV) on Antiretroviral Therapy (ART) at Meru Teaching and Referral Hospital was tested using a log-rank test. The study sample consisted of 113 non-smoker subjects and 96 smoker subjects. The foregoing test gave a chi-square value of 0.2 on 1 degree of freedom (χ2 = 0.2, df = 1, p = 0.7). This result suggests that the patterns of survival rates for patients who were never-smokers and patients who were smokers had no significant difference.
Log-rank test was done to compare the survival time of people who were married with those who were not married among the People Living with HIV (PLHIV) on Antiretroviral Therapy (ART) in Meru Teaching and Referral Hospital. In particular, 82 of the participants were married, whereas 42 were not married. From the test results, the value got from chi square test was 0.8 at 1 degree of freedom (χ2 = 0.8, df = 1, p = 0.4). Based on this finding, the study provides an indication that there is no significant difference in survival probability between married and not married persons in this study.
State of the Art Comparison
Predicting Mortality among Adult PLHIV Under ART based on the Identified Risk Factors Using the Data of MTRH
The fitted survival model was expected to estimate mortality in adult PLHIV on ART based on their risk indicator at MTRH. The results thus enable understanding of the effect of a range of covariates on survival patterns.
As argued and demonstrated in other research, the current study established that the male gender had a significantly higher hazard ratio of mortality than the female. This is in agreement with the findings of Mekebo et al. (2020) which concluded that gender was a predictor variable towards the survival time of PLHIV. Moreover, the positive coefficient of age also indicates that the older people face a little higher mortality risk.
In the study analysis, smoking status did not demonstrate any correlation with mortality among the PLHIV under ART. This is in contrast with Gobebo et al. [3] who found that substance use was a predictive factor of survival time. Similarly, employment status did not predict the survival rates in this study in contrast to the study conducted by Salih et al. [9] that concluded unemployment as a predictor of mortality.
Similarly, education level, CD4 cell count, and TB screening were not significant predictors of mortality in the study analysis. This is contrary to the results of Gobebo et al. [3] where factors such as level of education and CD4 count were predictors of survival time.
The overall fit of the model was statistically significant, showing that the included covariate combination affects survival among PLHIV under ART. Further, phenotyping by WHO stage meant that cross sectional survival differences by stage of disease at enrollment were captured which is in line with prior research frameworks.
Assessing Survival Disparities for the PLHIV in the Various Arms of the ART Regimen
In this study, the Log Rank analysis revealed survival on the two age groups of older and younger person as not significantly different (p = 0.60) implying that age has a small impact on the survival of the study population.
On the other hand, the Log-Rank test showed that there was a survival difference between females and males (p = 0.04) meaning that gender does affects survival, and females have higher survival rates than males. This finding is in line with other studies that revealed a statistically significant gender-sensitive variation in health status. The survival rates in the female patient population, noted in the present study, may be due to a host of biological and behavioral reasons that have been explored in the literature as per the discussion [11].
The analysis of smoking status also did not show significant differences in survival between smokers and non-smokers with a Log-Rank test (p = 0.70). This could indicate that smoking status does not necessarily affect survival with this sample. Similar observations were made in other studies by Salih et al. [9] where it was said that perhaps other factors had a greater impact on survival than smoking.
Lastly, a comparison of married and not married people further showed that marital status has no effect on survival since both sets of people have similar survival rates (p = 0.40). This finding is complemented by findings made by Nigussie et al. [6] in a similar study that did not establish marital status as a major predictor of survival and highlighted other socioeconomic or health-related variables.
Conclusions and Recommendations
The findings pointed to gender and age as the main factors that influence mortality among people living with HIV (PLHIV) on ART with male candidates presenting more mortality risk than the females, probably due to biological, sociocultural, or health seeker factors. Age was also found to be a predictor of mortality since patients that were of advanced age, were bound to succumb to the illness, owing to their weak bodies that are characteristic of old age and deteriorating immune system. On the other hand, factors like smoking habits, employment, education level, CD4 cell count, and tuberculosis preliminary screening had no statistically significant effect on mortality, which means that there may be other confounding factors which have not been considered.
The findings stress the need for gender sensitive approaches, such as differential access to health and education to decrease the mortality rates among males, and specific care to the needs of HIV affected elderly. Economic empowerment programs could help to reduce socioeconomic inequality and enhance health outcomes. Future study should focus on improving gender- and age-sensitive healthcare practices and assessing their efficacy in lowering mortality disparities in this population.
References
-
Borkowska NP. The impact of social determinants of health on outcomes among individuals with HIV and heart failure: a literature review. Cureus. 2024;16(3):1–7.
Google Scholar
1
-
Chia HX, Tan SY, Ko KC, Tan RKJ, Lim J. HIV drug resistance in Southeast Asia: prevalence, determinants, and strategic management. J Public Heal Emerg. 2022;6:1–27. Available from: https://jphe.amegroups.org/article/view/8333/html.
Google Scholar
2
-
Gobebo G, Siffir A, Hailu B, Woldeyohannes B, Kefale B, Senbeto T, et al. Influencing factors of mortality among adult HIV patients under antiretroviral therapy: the case of Hossana Queen Elleni Mohammad Memorial Hospital, Ethiopia. Sci J Clin Med . 2021;10(3):72.
Google Scholar
3
-
Moomba K, van Wyk B. Social and economic barriers to adherence among patients at Livingstone General Hospital in Zambia. African J Prim Heal Care Fam Med . 2019;11(1):1–6.
Google Scholar
4
-
Gebeyehu Chernet A, Derese Biru M. Survival analysis of HIV/AIDS patients under ART follow up in attat referral hospital. Sci J Appl Math Stat. 2020;8(3):42.
Google Scholar
5
-
Nigussie F, Alamer A, Mengistu Z, Tachbele E. Survival and predictors of mortality among adult hiv/aids patients initiating highly active antiretroviral therapy in debre-berhan referral hospital, amhara, ethiopia: a retrospective study. HIV/AIDS—Res Palliat Care. 2020;12:757–68.
Google Scholar
6
-
Abuto W, Abera A, Gobena T, Dingeta T, Markos M. Survival and predictors of mortality among HIV positive adult patients on highly active antiretroviral therapy in public hospitals of Kambata Tambaro zone, southern Ethiopia: a retrospective cohort study. HIV/AIDS—Res Palliat Care. 2021;13:271–81.
Google Scholar
7
-
Teshale BM, Awoke S. Survival analysis and predictors of mortality for adult HIV/AIDS patients following antiretroviral therapy in Mizan-Tepi University Teaching Hospital, Southwest Ethiopia: a retrospective cohort study. HIV AIDS Rev. 2022;21(1):58–68.
Google Scholar
8
-
Salih AM, Yazie TS, Gulente TM. Survival analysis and predictors of mortality among adult HIV/AIDS patients initiated antiretroviral therapy from 2010 to 2015 in Dubti General Hospital, Afar, Ethiopia: a retrospective cohort study. Heliyon. 2023;9(1):e12840. doi: 10.1016/j.heliyon.2023.e12840.
Google Scholar
9
-
Vohra P, Nimonkar S, Belkhode V, Potdar S, Bhanot R, Izna, et al. CD4 cells count as a prognostic marker in HIV patients with comparative analysis of various studies in Asia Pacific region. JFamMedPrimCare. 2020;9(5):2431–6.
Google Scholar
10
-
Workie KL, Birhan TY, Angaw DA. Predictors of mortality rate among adult HIV-positive patients on antiretroviral therapy in Metema Hospital, Northwest Ethiopia: a retrospective follow-up study. AIDS Res Ther. 2021;18(1):1–11. doi: 10.1186/s12981-021-00353-z.
Google Scholar
11





